컨텐츠로 건너뛰기
뉴스
서울
흐림 / 7.0 °
서울경제 언론사 이미지

“막가파식 관세로는 美무역적자 해결 못해”···경제학자들이 '트럼프정책' 실패 예견하는 이유[글로벌 인사이트]

서울경제 이완기 기자
원문보기
트럼프 “美 약탈·착취로 무역적자 누적”
만성적 적자로 국가 비상상태 이르러 지적
교역국 관세로만 무역적자 해결 어려워
환율·공급망 등 복잡한 변수 파악해야
상대국 보복 나설 때 ‘최적관세’ 무의미
무역수지 단순화한 관세율 공식도 논란
저축·투자 등 거시경제 전반적 진단 필요


“수십 년 동안 우리나라는 우방이든 적국이든 가릴 것 없이 약탈당하고 착취당했습니다. 철강 노동자, 자동차 노동자, 농부, 숙련 장인, 이분들은 정말 심각한 고통을 겪어왔습니다. 외국 지도자들이 우리의 일자리를 빼앗아 가는 모습을, 외국의 사기꾼들이 우리 공장을 약탈하는 모습을, 그리고 외국의 기회주의자들이 ‘아메리칸 드림’을 산산조각 내는 모습을 가슴 아프게 지켜봐야 했습니다. 하지만 이제는 아닙니다. 그런 일은 더 이상 일어나지 않을 것입니다. 오늘은 바로 우리의 경제 독립선언의 날입니다.”

4월 2일 도널드 트럼프 대통령은 백악관에서 미국의 경제 독립을 선언했습니다. 그러면서 이날 60여 개국을 대상으로 ‘상호관세’를 부과 조치를 발표합니다. “만성적인 무역적자는 단순한 경제 문제가 아닙니다. 그것은 국가 안보를 위협하고 우리의 삶의 방식 자체를 위협하는 국가적 비상사태입니다. 미국은 상호관세(Reciprocal Tariffs)를 시행할 것입니다.” 미국이 기록 중인 막대한 무역적자가 국가 존립에 큰 위협이 되는 만큼 높은 관세를 부과하는 방식으로 문제를 개선하겠다는 얘기죠. 하지만 그의 관세 정책은 이후 혼란을 증폭시켰고 현재는 시행이 중단된 상태입니다. 물가 오른다, 경기 침체 온다 등 우려가 컸습니다.

트럼프 정책에는 큰 혼란과 함께 많은 의문이 따릅니다. ‘과연 미국이 교역 상대국에 높은 관세를 부과하면 무역적자는 흑자로 돌아설 수 있을까? 무역적자 개선이라는 목적을 달성하는 데 관세는 적절한 수단인가? 큰 소동이 있더라도 미국인 입장에서 문제를 해결할 수 있다면 고통을 감내해야 하는 것 아닌가?’

하지만 대다수 주류 경제학자들은 이런 질문에 부정적으로 답변합니다. 미국의 무역적자는 교역국에 관세를 부과하는 방식으로만 해결할 수 없다는 것이 중론입니다.경제학자들은 왜 이렇게 판단하는지, 현재 미국은 어떤 상황인지, 트럼프노믹스(트럼프식 경제학)에는 어떤 문제가 있는 것인지 한번 살펴보겠습니다.



◇무역적자, 문제는 미국 내 있다?
무역수지가 적자를 기록한다는 건 자국이 해외에 재화나 서비스를 파는 수출보다 해외에서 사들이는 수입이 많다는 의미(수출-수입<0)입니다. 이렇게 마이너스(-)로 찍히는 숫자만큼 미국이 약탈당하고 있다는 것이 트럼프의 생각으로 추정됩니다. 그는 무역적자 원인을 외부로 돌립니다. 교역국의 관세, 산업정책, 세제 등을 문제로 꼽습니다. 경제학자들의 생각은 다릅니다. 미국의 무역적자를 분석하기 위해선 자국 내 사정을 먼저 살펴야 한다고 설명합니다. 문제 진단부터 잘못됐다는 이야기죠.




설명은 이렇습니다. 한 나라의 거시경제를 파악할 때 우리는 국내총생산(GDP)이라는 지표를 사용합니다. GDP는 소비(C), 투자(I), 정부지출(G), 순수출(NX)로 나뉩니다. 한 나라의 총생산·총소득·총지출(GDP)은 소비자, 기업, 정부라는 경제주체들의 지출과 해외 부분 총합이라는 의미입니다. 이를 다소 어려운 말로 쓰면 국민소득항등식(Y=C+I+G+NX)라고 합니다. 다만 여기서는 편의상 ‘1번 방정식’이라고 지칭합니다.


거시경제의 중요한 한 축에는 자금과 관련한 것이 있습니다. (대부)자금시장이라고 부릅니다. 자금시장의 공급은 저축(S)이고 수요는 투자(I)입니다. 경제주체들이 은행에 돈을 맡겨두면 기업들이 이를 활용해 공장을 짓고 기계를 구매한다는 이야기입니다. 그리고 그 가운데 은행 등 금융기관이 있는 것이죠. 이 중 저축은 민간저축(Y-C-T, T는 조세)과 정부저축(T-G)의 합으로 이뤄집니다. 여기서 S=Y-C-G라는 식이 도출되는데요. 이를 ‘2번 방정식’이라고 하겠습니다.

3번 방정식으로 넘어가기 전, 자금시장의 수요와 공급 간 관계를 한번 살펴보시죠. 만약 수요(투자)가 공급(저축)보다 많다면 어떻게 될까요? 개방 경제에서는 그 수요를 충족할 수 있게 해외에서 자금을 끌어옵니다. 반대로 공급이 수요보다 초과할 경우 여유 자금은 밖으로 빠져 나갑니다. 이처럼 투자와 저축 간 차이는 자금의 해외 유출의 정도를 나타냅니다. 경제학적 표현에 따르면 ‘S-I=NCO(Net capital outflow)'입니다.

다시 3번 방정식으로 돌아가면 이는 1번 방정식과 2번 방정식의 합으로 나타냅니다. 결국 이는 ‘NX=S-I’라는 최종 결과물이 나옵니다. 한 나라의 순수출, 무역수지는 저축과 투자의 차이(S-I)라는 의미입니다. 그런데 앞서 저축에서 투자를 뺀 것은 순자금유출과 같다고 했었죠. 결국 순수출(무역수지)=저축-투자=순자본유출이라는 논리 구조로 이어집니다. 재화와 서비스가 오고 가는 것(무역수지) 그 반대 방향에는 자금의 유출입이 있다는 뜻입니다. 그리고 이 두 측면은 균형을 이뤄야 합니다. 아래는 이를 종합한 식들을 나열한 것입니다.





NX(순수출)=S(저축)-I(투자)라는 식과 관련해 실제 미국 데이터를 한번 보겠습니다.




위의 그래프는 미국의 총저축과 국내투자 규모를 1970년부터 나타낸 것입니다. 파란 선이 총저축. 주황색 선이 투자입니다. 저축과 투자 간의 차이가 있는 것을 볼 수 있습니다. 이는 1980년대 중반부터 차이가 벌어지기 시작하고 시간이 갈수록 확대되는 모습입니다.

이렇게 자금 공급(저축)이 자금 수요(투자)를 충족하지 못하면 해외에서 자금을 충당한다고 말씀드린 적이 있는데요. 이를 잘 보여주는 것이 아래 그림입니다. 외국인이 미국 증권 즉 금융자산 얼마나 사들였는지를 나타낸 것입니다. 외국인들이 미국 주식, 채권 등 증권을 사들인 규모가 2006년 7조 7780억 달러에서 2023년 26조 8720억 달러로 불어났습니다.





이렇듯 미국은 해외에서 자금을 끌어와 정부 적자를 메우거나 생산성을 높이는 곳에 투자했습니다. 이를 통해 미국은 세계 최고 선진국이면서도 높은 경제성장률을 기록해왔던 것입니다. 다만 그 이면에는 막대한 자본유입이 미국의 총수요와 환율에 영향을 주고 무역수지에 여파를 끼칩니다. 즉, 무역수지가 것은 저축과 투자 간의 차이에 따른 결과라는 설명입니다. 이에 따라 재정적자 감축, 저축률 제고 등의 처방을 내놓습니다.

물론 이런 경제구조가 모든 나라에 다 적용이 되는 것은 아닙니다. 달러 패권을 보유한 미국만의 특권이라고도 할 수 있습니다. 전 세계 기축통화를 공급하는 미국은 달러를 양껏 찍어내도 달러 자산에 대한 수요는 넘쳐납니다. 그런 넘치는 세계 수요 탓에 제공하는 이자율도 낮습니다. 미국은 손해 보는 장사를 하지 않았다는 의미입니다.




마지막으로 이 구조의 반대를 한번 생각해 보겠습니다. NX=NCO라는 틀에서 무역적자(NX)가 줄어들면 어떻게 될까요? 등식이 맞으려면 순자본유출이 늘어나야 합니다. 다르게 표현하면 미국이 무역적자가 줄어들면 미국으로 들어오는 돈보다 나가는 돈이 많아진다는 의미입니다. 이렇게 돼야 무역수지와 순자본유출 간 균형을 유지됩니다. 무역적자만 집착하는 트럼프 생각은 이 관계를 깨뜨리는 것입니다. 트럼프의 무역질서 개편 시도는 실물경제뿐만 아니라 금융분야도 큰 대가를 치를 것이라고 지적하는 건 이런 이유 때문입니다.






◇관세를 때려도 환율이 변하면 무의미?

관세만으로 무역수지를 흑자로 전환하기 힘들다고 보는 두 번째 이유는 환율 변수입니다. 고율 관세 같은 수입 제한 정책은 환율에 영향을 주게 됩니다. 미국을 중심으로 보면 기본적으로 미국의 수입제한정책은 달러 강세 압력입니다. 자국 내 미국산 수요가 커지고 달러 수요도 늘어나기 때문입니다. 트럼프 측근들은 지금껏 강달러로 미국이 피해를 보고 있다고 지적합니다. 미국산 상품값이 올라 수출 시장에서 경쟁력을 잃었다는 것이죠. 아래 그림은 미국의 실질실효환율에 대한 것입니다. 그런데 이런 상황에서 추가 달러 강세를 이끌 수 있는 정책을 시행한다? 정책의 설득력이 떨어진다는 지적이 나오는 배경입니다. 관세로 수입이 줄어들 수 있지만 수출까지 같이 감소하면 무역수지는 결국 제자리입니다.




환율이 중요하다는 건 트럼프 1기 행정부 시절 있었던 1차 미중 무역전쟁에서 나타난 바 있습니다. 2018년 트럼프 행정부는 중국을 상대로 관세 부과를 시작했습니다. 중국도 가만히 있지 않았죠. 보복관세와 함께 위안화 평가 절하에 나섭니다. 달러당 위안화 가치는 2018년 3월 6.3위안에서 2019년 8월 7위안을 넘어서게 됩니다. 위안화 가치가 약 10% 떨어졌다는 의미죠. 2017~2020년 중국의 고시환율을 나타낸 아래 그림은 당시 상황입니다. 미국이 때린 관세 충격을 환율로 완화하겠다는 중국 당국의 계산입니다. 모건스탠리는 중국이 당시 통화 절하로 관세 인상 영향의 60% 이상을 상쇄했을 것으로 추정합니다. 지금도 비슷합니다. 중국 통화 당국은 위안화 절하 카드를 검토하고 있다는 해외 보도들이 나옵니다.



다만 지금의 교과서적 설명과 달리 현재 달러 힘은 크게 빠지고 있습니다. 미국에 대한 기본적인 신뢰 자체가 무너진다는 분석이 지배적인데요. 아마 많은 경제학자들은 이런 상황을 예상치 못했을 것으로 보입니다. 더 지켜봐야 하겠지만 환율이 관세 정책 실효성에 중요한 변수임은 틀림없어 보입니다.



◇관세는 미국 수출품 가격도 올린다?

높은 관세는 미국의 수출에도 악영향을 줄 것으로 관측됩니다. 미국 수출품 중 상당수가 해외에서 들여온 중간재를 사용하기 때문입니다. 아래 그래프는 이를 드러냅니다. 세계은행에 따르면 미국의 중간재 수입은 1991년 816억 달러에서 2022년 5742억 달러 수준으로 늘어납니다. 전체 수입품 중 비중으로 보면 대략 20%에 육박하는 수치인데요. 이런 상황에서 높은 관세를 부과하면 중간재 가격을 높이고 결국 미국 수출품의 가격 경쟁력을 떨어뜨릴 수 있습니다.






◇공격은 반드시 보복을 부른다?

물론 관세 부과를 지지하는 이론도 있습니다. 최적관세이론은 그 중 대표적입니다. 미국과 같이 시장 지배력을 가진 대국이 수입 관세를 부과하면 세계 수요에 충격을 줘 세계 시장 가격을 떨어뜨릴 수 있습니다. 이를 통해 교역조건이 개선되고 국민 효용이 증대된다는 게 해당 이론의 설명입니다.

하지만 최적관세이론이 현실에 적합하지 않다는 지적도 상당합니다. 최적관세는 이론적으로 대체로 상대국 보복 가능성을 감안하지 않습니다. 하지만 현실에서는 관세 부과가 시작되면 대게 상대국의 보복관세가 이어집니다. 아울러 효율을 극대화할 수 있는 관세율을 정확하게 짚는다는 것 자체가 불가능에 가깝다는 평가도 나옵니다. 국제경제학 권위자이자 노벨경제학 수상자인 폴 크루그먼 교수는 지난해 뉴욕타임스(NYT) 칼럼에서 “최적관세이론이라는 도움이 되지 않는 이름으로 불리는데 미국이 큰 나라라서 광범위한 상품에 관세를 부과하면 무역 조건을 개선할 수 있다”면서도 “하지만 미국이 광범위한 관세를 부과한다면 다른 나라들도 보복 차원에서 모방 차원에서 똑같이 할 것이기 때문에 (이 논리는) 논쟁의 여지가 있다”고 짚었습니다.

공격과 보복으로 이어지는 과정은 미중 무역전쟁에서 잘 나타납니다. 최초 20%로 시작한 미국의 대중 관세율은 현재 145%로 높아졌고 중국 또한 대미 관세율을 125% 상향 했습니다. 일각에서는 미국이 이를 절반으로 줄이는 방안을 검토한다고 하는데 아직 확정되지 않았습니다. 아래는 그림은 이런 상황을 나타냅니다. 피터슨 국제경제연구소에서 정리한 그림입니다.






◇상호관세로 무역수지 균형 ?

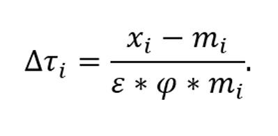
상호관세 산정 방식을 두고도 논란이 많습니다. 미 무역당국은 아래와 같은 공식에 따라 관세율을 책정했다고 설명합니다.



복잡해보이지만 어렵지 않습니다. 좌변에 쓰인 τ는 특정 국가(i)에 부과하는 관세율을 뜻합니다. 그 앞에 Δ가 붙어 관세율에 대한 변화 수준을 뜻입니다.

분자에 있는 x와 m은 각각 수출과 수입을 말합니다. 이들의 차이인 x-m은 순수출 즉 무역수지입니다. 1번 방정식을 도출할 때 언급한 바 있습니다.

다음 분모에 등장하는 ε이라는 건 수입수요의 가격탄력성을 지칭한 것인데요. 쉽게 말하면 수입가격이 변화할 때 수입수요가 얼마나 바뀌는지를 보여주는 숫자입니다. 미국 정부는 기존의 여러 경제학 연구를 검토한 결과 대게 이 값이 2~4로 관측됐고 보수적으로 관세율을 책정하기 위해 4로 산정한다고 밝힙니다. 그리고 수입가격이 올라가면 수입수요는 줄어들어 이 값은 음수로 가정합니다.(ε<0) φ는 관세의 수입가격 전가율입니다. 관세가 수입가격에 영향을 주는 정도를 숫자로 나타냅니다. 미국 정부는 이 값은 0.25로 설정합니다. 분모는 ε, φ, m의 곱입니다.

그런데 이렇게 만들어진 ε, φ, m의 곱은 결국 m이 됩니다. ε와 φ의 값이 각각 4와 0.25로 설정했기 때문(4×0.25=1)입니다. ε와 φ는 사실상 의미가 없는 변수인 셈입니다. 결국 최종적으로 도출되는 상호관세율 공식은 무역수지(x-m)와 수입액(m)의 나눗셈입니다.

미 정부는 상호관세율을 도입하면서 비관세장벽, 환율조작, 조세 등 무역 왜곡 요인들을 상쇄하는 수단이라고 강조했는데요. 이런 목표를 생각하면 상호관세율 공식은 사안을 너무 단순화했다는 지적이 나옵니다. 언급했듯 관세는 환율, 수출, 국내 수요 등 여러 경제적 변화를 동반하는데 이 식에서 그런 상황들은 고려 대상이 아닙니다.



미 정부가 입력한 변수 값(파라미터)도 잘못 설정했다는 비판도 있습니다, 가령 관세의 수입가격 전가율(φ)의 경우 미 정부는 0.25를 적용합니다. 기존 경제학 연구에 근거한 것이라고 설명합니다. 하지만 정부가 인용한 논문의 연구 주인공인 브렌트 네이만 교수는 이 값이 틀렸다고 지적합니다. 그는 0.25가 아닌 0.95가 돼야한다고 설명합니다. 자신의 연구 결과를 잘못 인용했다는 것입니다. 그는 NYT 기고를 통해 “무역 당국은 우리 연구를 인용했지만 논문과는 다른 결과를 언급했다”면서 “25%는 어디서 나오는 것인가? 우리 연구와 관련이 있을까? 나는 모르겠다”고 말합니다.



◇관세율이 높은 국가가 무역적자가 크다?

트럼프 관세 정책의 실패를 전망하는 다른 이유는 기존의 경험 때문입니다. 지금까지 쌓인 여러 데이터에서는 관세 인상이 무역적자 개선에 그다지 효과적이지 못하다는 것을 나타낸다는 설명이 있습니다.

아래 그림은 미국 피터슨 국제경제연구소가 무역적자 규모와 관세율 관계를 분석한 그림입니다.




2003~2022년 137개국의 관세율과 무역적자에 해당하는 각각의 점들을 찍어 나타낸 것입니다. 가로축(X축)에는 평균 관세율, 세로축(Y축)에는 GDP 대비 무역적자 규모의 값을 뒀습니다. 가로축은 우측으로 갈수록 관세율이 높다는 뜻이고 세로축은 아래를 향할수록 무역적자가 크다는 의미입니다. 점들 간 경향성을 추정해보니 마이너스 기울기의 사선이 만들어집니다. 관세율이 높은 국가가 무역적자도 크다는 것을 보여줍니다. 관세율이 높은 국가 대부분이 개발도상국이기 때문인데요. 이 연구소는 관세율이 1%포인트 상승할 때 무역수지가 GDP 대비 0.45% 악화한다고 평가했습니다.




관세 정책은 무역적자 개선보다 무역패턴 전환에 효과적이라는 설명도 있습니다. 트럼프 1기 행정부에서 치러졌던 무역전쟁의 결과는 이런 주장을 뒷받침합니다. 2017년 5169억 달러 수준이던 미국의 무역적자는 이후에도 나아지지 않습니다. 지난해 미국의 총 무역적자는 -9178억 달러에 이릅니다. 트럼프가 중국만 집중적으로 때렸기 때문일까요? 대중 무역적자는 -3103억 달러에서 지난해 -2633억 달러로 줄어듭니다. 다만 멕시코, 베트남, 대만 등에서 적자가 크게 불어나면서 그 효과를 상쇄합니다. 중국에 부과되는 높은 관세를 피해 생산시설 등이 멕시코, 베트남 등으로 옮겨갔기 때문일 것으로 보입니다. 일각에서는 이를 두고 풍선효과라고도 부릅니다. 피터슨 경제연구소는 “관세는 생산자를 외국 경쟁으로부터 보호함으로써 궁극적으로 기업 혁신을 저해하고 생산성 증가를 둔화시키며 가계 생활 수준을 저하시킨다”고 지적했습니다.

이완기 기자 kingear@sedaily.com
[ⓒ 서울경제, 무단 전재 및 재배포 금지]

info icon이 기사의 카테고리는 언론사의 분류를 따릅니다.

AI 이슈 트렌드

실시간
  1. 1신민아 김우빈 기부
    신민아 김우빈 기부
  2. 2송성문 샌디에이고행
    송성문 샌디에이고행
  3. 3엡스타인 클린턴 연루
    엡스타인 클린턴 연루
  4. 4김상식 감독 베트남 3관왕
    김상식 감독 베트남 3관왕
  5. 5푸틴 우크라 종전
    푸틴 우크라 종전

서울경제 하이라이트

파워링크

광고
링크등록

당신만의 뉴스 Pick

쇼핑 핫아이템

AD