도널드 트럼프 행정부의 제이미슨 그리어 미 무역대표부(USTR) 대표가 작년 12월 10일 워싱턴 상원 의원 회관을 지나가고 있다. AFP연합뉴스 |
도널드 트럼프 행정부의 미국 무역대표부(USTR)가 지난 2일(현지시간) 발표한 국가별 상호관세율 산정 근거로 제시한 논문의 저자가 자신의 연구가 잘못 해석됐다면서 정면으로 반박했다.
브렌트 니먼 시카고대 경영대학원(MBA) 교수는 7일(현지시간) 뉴욕타임스(NYT) 기고글에서 "트럼프 행정부의 무 정책과 접근 방식 자체에 근본적으로 반대한다"며 이같이 밝혔다.
미 USTR은 니먼 교수 등의 논문이 트럼프 대통령이 발표한 57개국에 대한 상호관세율 계산의 근거로 사용됐다고 밝혔다. 니먼 교수가 알베르토 카바요 하버드대 교수 등과 함께 작성한 공동연구 결과를 이유로 든 것이다. 이 연구는 트럼프 1기 행정부 시절인 2018년부터 2019년 사이 중국에 부과된 관세의 영향을 다뤘다.
니먼 교수는 중국에 부과한 관세가 미국 수입업자들에 미치는 영향을 뜻하는 수입수요 가격탄력성이 0.95에 가깝다는 것이 논문의 결과라고 소개했다. 중국에 20%의 관세를 부과할 경우, 미국의 수입업자의 부담이 19% 증가할 정도로 가격탄력성이 비례적으로 반응한다는 것이다.
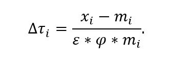
앞서 USTR이 공개한 공식은 사실상 무역적자를 수입액으로 나눈 것이다. 분모의 ε(수입수요 가격탄력성)은 4, φ(관세 가격전가율)는 0.25로 설정돼 이를 곱하면 1이기 때문이다. 변수는 총수출액(x)과 총수입액(m)뿐이다.
니먼 교수는 "정부는 이유도 밝히지 않은 채 25%라는 수치를 공식에 대입했다"며 "이 25% 수치는 어디에서 나온 것인지, 우리 연구와 어떤 관련이 있는지조차 알 수 없다"고 짚었다. 더불어 만약 공동연구에서 나온 0.95라는 수치를 사용해 계산했다면 관세율이 최대 4분의 1까지 감소할 것이라고도 지적했다.
실제로 싱크탱크 미국기업연구소(AEI)가 니먼 교수 논문 내용에 따라 각국에 대한 관세율을 계산한 결과 가장 높은 상호관세율(50%)을 적용받은 남아프리카의 소국 레소토의 관세율은 13.2%로 감소한다. 한국의 상호 관세율도 기존 25%에서 10%로 줄게 된다.
니먼 교수는 관세로 미국의 무역적자를 줄이겠다는 목표 자체도 비합리적이라고 지적했다. 니먼 교수는 스리랑카는 미국에 의류를, 미국은 스리랑카에 의약품과 가스터빈을 수출한다는 사실을 언급한 뒤 "이 같은 거래는 자원과 비교우위, 개발 수준의 차이를 반영하는 것일 뿐 이 거래에서 적자가 난다고 하더라도 불공정 경쟁을 의미하는 것은 아니다"라고 설명했다. 그러
그러면서 "난 이발사에게 만성적인 적자가 있다. 이발사는 나에게서 아무것도 사지 않기 때문이다"라는 노벨 경제학자 수상자 로버트 솔로 전 하버드대 교수의 발언을 소개했다. 국가간 무역 불균형은 보호무역과 관련 없는 이유로도 발생할 수 있다는 의미다. 니먼 교수는 "상호관세 정책은 성공할 수 없고, 완전히 폐기돼야 한다"고 강조했다.
한편, 니먼 교수는 조 바이든 행정부 시절 재무부 차관보 직무대행을 지냈다.
차민영 기자 blooming@asiae.co.kr
<ⓒ투자가를 위한 경제콘텐츠 플랫폼, 아시아경제(www.asiae.co.kr) 무단전재 배포금지>




























































