[이데일리 정다슬 기자] 트럼프 행정부의 관세 계산 방식이 인공지능(AI) 챗봇이 제시한 방법들과 거의 유사한 것 같다는 분석이 나왔다.
미국 IT매체 더버지는 3일(현지시간) 챗GPT, 제미나이, 클로드, 그록에게 무역 적자를 해결하고 미국을 공정한 경쟁환경에 두는 쉬운 방법을 질문하면 이 4개의 생성형 AI가 일관되게 ‘적자를 수출로 나눈 공식’ 버전을 제공한다는 것이 여러 엑스(X, 옛 트위터) 이용자들로부터 발견됐다고 보도했다.
더버지는 이를 참고해 정부가 사용하는 단어를 차용해“미국이 미국과 각 무역 파트너간 양자 무역적자를 균형잡기 위해 다른 국가에 부과하는 관세를 계산하는 쉬운 방법”을 요청했다. 그 결과 4개 AI가 역시 똑같은 답변을 내놓았다.
미국 IT매체 더버지는 3일(현지시간) 챗GPT, 제미나이, 클로드, 그록에게 무역 적자를 해결하고 미국을 공정한 경쟁환경에 두는 쉬운 방법을 질문하면 이 4개의 생성형 AI가 일관되게 ‘적자를 수출로 나눈 공식’ 버전을 제공한다는 것이 여러 엑스(X, 옛 트위터) 이용자들로부터 발견됐다고 보도했다.
더버지는 이를 참고해 정부가 사용하는 단어를 차용해“미국이 미국과 각 무역 파트너간 양자 무역적자를 균형잡기 위해 다른 국가에 부과하는 관세를 계산하는 쉬운 방법”을 요청했다. 그 결과 4개 AI가 역시 똑같은 답변을 내놓았다.
더버지는 “10%의 기본 관세를 설정했을 때 기본 관세가 총관세율에 추가되어야 하는지에 관해서는 AI들의 의견이 일치하지 않았지만 4개의 AI가 제공한 답변은 유사한 부분이 많았다”고 전했다.
특히 그록과 클로드는 특히 관세 수치를 절반으로 줄이는 방식을 제안했는데, 이는 트럼프 대통령이 말한 “관대한 관세”와 유사한 부분이다.
앞서, 경제 저널리스트 제임스 서로위키는 전날 엑스(X, 옛 트위터)에서 트럼프 행정부가 각국에 부과한 상호관세율이 “각 국가의 무역적자를 해당 국가의 대미수출로 나눈 것”이라고 주장했다.
예를 들어 2024년 기준 유럽연합(EU)에 대한 미국의 무역적자가 2356억달러를 EU의 미국 수출액 6058억달러로 나눴다는 것이다. 그 결과는 39%가 나온다. 여기에 백악관은 절반에 해당하는 20%의 관세율을 부과했다는 얘기다.
물론 백악관은 이에 대해서 부인하며 공식을 제시했다. 그러나 폴리티코와 더버지는 모두 서로위키의 설명과 같은 버전이라고 지적했다.
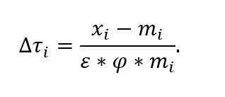
미국 무역대표부(USTR)이 발표한 상호관세율 도출 공식. 가격 상승이 수입감소에 미치는 영향을 고려해 산출된다. |
더버지는 “트럼프 행정부가 즉석에서 글로벌 무역 정책을 생성하기 위해 AI 도구에 의존했는지는 알 수 없지만 5일부터 관세가 발효되는 것을 세계가 지켜보면서 트럼프 행정부가 대충 계산한 수학이 글로벌 무역에 어떤 영향을 미칠지 알 수 있게 될 것이다”라고 말했다.




























































