출처: 픽사베이 |
[문화뉴스 MHN 권성준기자] 자석은 모두 N극과 S극으로 이루어져 있다. N극은 S극을 당기고 N극을 밀어내며 반대로 S극은 N극을 당기고 S극을 밀어낸다는 것은 너무나 당연한 상식으로 받아들여진다.
만약 이 자석의 중간을 따라 반으로 자르면 어떻게 될까? 정답은 길이는 절반이고 N극과 S극을 가지는 자석이 2개 만들어진다.
좀 더 자세히 말하자면 N극이 있는 부분은 일반적으로 빨간색으로 칠해지고 S극이 있는 부분은 파랗게 칠해진다. 중간지점을 따라 자석을 자르면 빨간 부분과 파란 부분 두개로 나뉘어질 수 있다.
이제 빨간 부분에서 N극이 있던 곳은 그대로 N극이 있고 절단면이 있는 곳은 S극이 된다. 이는 파란 부분에서도 마찬가지로 적용된다. S극이 있던 곳은 S극이 되고 절단면은 N극이 된다. 절대 빨간 부분의 두 끝에 N극이 동시에 나타나지 않는다.
이러한 자석의 성질은 먼 옛날부터 사람들에게 관심거리가 되었었다. 한 개의 극만 존재하는 자석, 다른 이름으로 자기 홀극 또는 모노폴이라고 불리는 물질을 찾거나 혹은 만들어내려는 시도는 계속해서 이루어졌다.
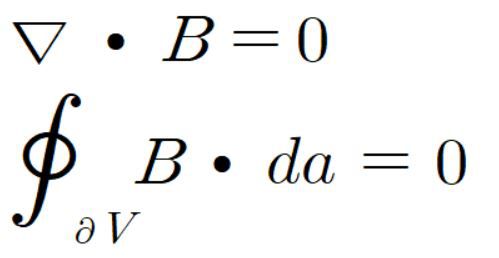
자기장에 대한 가우스 법칙 |
그러나 19세기 무렵 물리학자 제임스 맥스웰(James Maxwell, 1831~1879)은 기존에 존재하던 자기력에 관한 식인 비오-사바르 법칙을 통해서 자기장의 원천에 대한 식을 유도하였다. 자기장에 대한 가우스 법칙이라고도 불리는 이 식에 따르면 자기 홀극은 존재하지 않는다.
맥스웰의 전자기 방정식 등장 이후 자기 홀극이 존재하지 않는다는 것은 상식으로 여겨졌고 특수 상대성 이론은 전하에 대한 상대론적 효과로 인해 자기력이 생긴다고 설명하면서 자기력은 전기력에 의해 간접적으로 나타나는 현상으로 생각되었다.
하지만 물리학자들은 맥스웰 방정식의 비대칭성, 다시 말해 전기와 자기에 대한 방정식이 같은 모양으로 나타나지 않는다는 것에 대한 의구심을 떨쳐낼 수 없었고 무엇보다 비오-사바르 법칙은 반복적인 실험을 통해 얻어낸 경험적인 지식이었다. 즉, 자기 홀극이 존재하지 않는다는 직접적인 증거로 볼 수 없었다. 만약 자기 홀극이 발견된다면 비오-사바르 법칙과 자기장에 대한 맥스웰 방정식은 대대적으로 수정되어야 한다.
출처: 위키피디아, 자기 홀극 |
자기 홀극에 대한 이론적인 예측은 1931년 물리학자 폴 디랙(Paul Dirac, 1902~1984)에 의해 이루어졌다. 디랙은 양자역학을 통해 자기 홀극이 존재해야지만 전자와 양성자의 전하의 크기가 정확히 같다는 것을 설명할 수 있음을 보였다.
디랙 이후 등장한 이론에서도 자기 홀극의 존재 가능성은 계속해서 제기되었고 수학적으로 자기 홀극이 존재할 수 있다고 여겨졌으며 심지어 빅뱅 이론에서 초기 우주에는 자기 홀극이 많이 존재하였다고 계산되었다.
남은 문제는 자기 홀극을 직접 찾는 문제였다. 하지만 초기 우주에서 생성된 자기 홀극은 우주의 급팽창으로 인해 모두 흩어져 버려 관측할 수가 없게 되었고 실험을 통해 발견해야 했다.
자기 홀극을 찾는 방법은 의외로 간단하다. 힉스 입자를 찾을 때 하고 동일한 방법으로 찾을 수 있다. 거대한 크기의 입자 가속기를 만들어 입자끼리 충돌시킬 때 생성되는 입자를 관측하여 자기 홀극인지 아닌지 확인하는 방법이다.
문제는 자기 홀극을 만드는데 필요한 에너지가 엄청나게 크다는 것이고 현재 지구에서 가장 큰 입자 가속기인 LHC에서조차 발견되지 못했으며 LHC의 예상으로는 1500GeV의 질량을 가질 것으로 예측되는데 이는 현재까지 발견된 가장 무거운 입자인 탑 쿼크보다 8~9배가량 무거운 수치이다.
출처: 위키피디아, 준금속의 띠 구조 |
현실적으로 자기 홀극의 발견은 불가능해 보였으나 적어도 위상 공간에서는 자기 홀극이 나타날 수 있음이 발견되었다.
현실 공간을 x, y, z의 세 가지 좌표를 이용해 표현하는 데 이를 각각의 방향의 운동량으로 바꿔서 운동량을 축으로 하는 공간을 수학적으로 생각할 수 있다. 이러한 공간을 위상 공간이라고 한다.
준금속이라고 불리는 물질들은 금속과 비금속의 중간 성질을 띄는데 이는 물질의 전도 띠와 원자가 띠가 한 점에서 만난다는 것을 의미한다. 이 점들에 대한 성질을 계산해보면 놀랍게도 위상 공간에서의 자기 홀극의 역할을 하게 된다. 대표적인 준금속으로 그래핀이 있다.
현재는 직접적으로 자기 홀극을 관측할 수는 없으나 자기 홀극에 의한 효과를 간접적으로 관측할 수 있다. 준금속들은 위상 공간에서의 자기 홀극으로 인해 실제 공간에서 아주 특이한 성질을 가지고 있으며 이에 관련된 연구는 현재 물리학에서 활발히 이루어지고 있으며 2016 노벨 물리학상과도 연관이 있다.
-----
[MHN 과학] 고대에서 현대까지 이어진 질문 '자기 홀극은 존재할까?' 과학 역사를 바꿀 발견
이론적인 예측 계속되었지만 현실적으로 관측 불가능
준금속에서 간접적으로 관측 가능
<저작권자 Copyright ⓒ 문화뉴스 무단전재 및 재배포 금지>




























































